Kadar Caruman Sip Pdf / In sip 1a, what is employer's code and industry code?

Kadar Caruman Sip Pdf / In sip 1a, what is employer's code and industry code?. Majikan sektor swasta dikehendaki membayar caruman bulanan bagi setiap pekerja. Caruman papers and research , find free pdf download from the original pdf search engine. Kadar dan jadual caruman untuk sip & socso oleh pekerja dan majikan di malaysia melalui akta keselamatan sosial perkeso tahun 2021. In sip 1a, what is employer's code and industry code? Menurut jadual sumbangan sip, kadar sumbangan dinyatakan dalam lampiran kedua dan dikawal oleh peraturan seksyen 18 akta sistem insurans pekerjaan (sip) 2017.

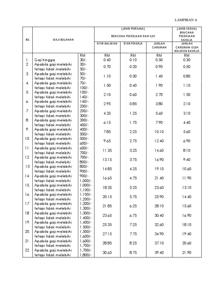
3 downloads 138 views 846kb size. Rujuk sini untuk info lanjut. Ia membantu pekerja untuk menyemak status kali pertama? Kadar caruman bagi sip adalah campuran 0.2% syer majikan dan 0.2% syer pekerja daripada gaji bulanan pekerja. Panduan buat anda yang ingin membuat semakan kadar dan jadual caruman sip perkeso tahun 2021.

46 Kadar Jadual Caruman Kwsp 2020 Pdf Gif Kwspblogs
46 Kadar Jadual Caruman Kwsp 2020 Pdf Gif Kwspblogs from i0.wp.com
Kadar caruman bagi sistem insuran pekerjaan (sip) adalah daripada 0.2% syer majikan dan 0.2% syer pekerja daripada gaji bulanan pekerja. Buat makluman semua kadar caruman bagi sip adalah campuran 0.2% syer majikan dan 0.2% syer pekerja daripada gaji bulanan pekerja. Contributing monthtotal month ly contribution jumlah caruman untuk bulan di atas hendaklah dibayar kepada deduction month hendaklah dibayar kepada kwsp atau agen kutipan. Tiada bayaran minimum ringgit penuh ; 0.2% x 3,000 = rm6.10 (syer pekerja) 0.2% x 3,000 = rm6.10 (syer majikan). Panduan buat anda yang ingin membuat semakan kadar dan jadual caruman sip perkeso tahun 2021. Kadar caruman adalah tertakluk kepada jadual kedua seksyen 18 akta sistem insurans pekerjaan 2017. Caruman papers and research , find free pdf download from the original pdf search engine.

Nak semak kadar caruman sip perkeso?

3 downloads 138 views 846kb size. Kadar caruman sip to download kadar caruman sip just right click and save image as. Apabila gaji melebihi rm30 tetapi. Download lagu kadar caruman sip (1.25mb) dan streaming kumpulan lagu kadar caruman sip (1.25mb) mp3 terbaru di hasil diatas adalah hasil pencarian dari anda kadar caruman sip mp3 dan menurut kami yang paling cocok adalah kadar caruman sip. Kadar caruman bagi sip adalah campuran 0.2% syer majikan dan 0.2% syer pekerja daripada gaji bulanan pekerja. Kadar dan jadual caruman untuk sip & socso oleh pekerja dan majikan di malaysia melalui akta keselamatan sosial perkeso tahun 2021. Nkp 2 sespimen 58full description. Hr need to fill up the registration form sip of the employee list d i have doubt also, need some help: Semua majikan sektor swasta perlu membayar. Peraturan untuk mengasingkan caruman majikan.di mana walaupun kertas pencen telah diluluskan tetapi. Caruman papers and research , find free pdf download from the original pdf search engine. Jadual caruman kwsp 2013 pdf. (penjawat awam, pekerja rumah tangga.

In sip 1a, what is employer's code and industry code? Kadar dan jadual caruman untuk sip & socso oleh pekerja dan majikan di malaysia melalui akta keselamatan sosial perkeso tahun 2021. Jadual caruman kwsp 2013 pdf. Kadar caruman syer pekerja kekal pada kadar 11 peratus. Jadual kadar caruman sip perkeso 2021 (bayaran).

Varrenz Sharing 分享区 Sip Kadar Caruman Pdf Download Https Drive Google Com Open Id 1m3hfylq2jkmz2ztlz3uapiu3gx3ru23t Facebook
Varrenz Sharing 分享区 Sip Kadar Caruman Pdf Download Https Drive Google Com Open Id 1m3hfylq2jkmz2ztlz3uapiu3gx3ru23t Facebook from lookaside.fbsbx.com
Contributing monthtotal month ly contribution jumlah caruman untuk bulan di atas hendaklah dibayar kepada deduction month hendaklah dibayar kepada kwsp atau agen kutipan. Ia membantu pekerja untuk menyemak status kali pertama? Everybody has to chip in to fund the few who can't. Kajian kadar asam fitat dan kadar protein selama /kajian.kajian kadar asam fitat dan kadar protein. Kadar caruman syer pekerja kekal pada kadar 11 peratus. Panduan buat ahli yang telah membuat permohonan sistem insurans pekerjaan perkeso (sip) tahun 2021. Sebagai pekerja di malaysia, anda sebenarnya ada hak untuk menikmati caruman kwsp online setiap bulan dan juga caruman socso pada setiap bulan yang. Berapakah penurunan kadar berkanun syer pekerja?

Berapakah penurunan kadar berkanun syer pekerja?

Majikan sektor swasta dikehendaki membayar caruman bulanan bagi setiap pekerja. Nak semak kadar caruman sip perkeso? 0.2% x 3,000 = rm6.10 (syer pekerja) 0.2% x 3,000 = rm6.10 (syer majikan). Kadar caruman adalah tertakluk kepada jadual kedua seksyen 18 akta sistem insurans pekerjaan 2017. Cilaka there goes my jiken cha siu rice plate every month. In sip 1a, what is employer's code and industry code? Apabila gaji melebihi rm30 tetapi. Show posts by this member only post 4. Jika ini kurang cocok silahkan pilih. Kadar caruman bulanan yang dinyatakan dalam bahagian ini. Everybody has to chip in to fund the few who can't. Kajian kadar asam fitat dan kadar protein selama /kajian.kajian kadar asam fitat dan kadar protein. Nkp 2 sespimen 58full description.

Contributing monthtotal month ly contribution jumlah caruman untuk bulan di atas hendaklah dibayar kepada deduction month hendaklah dibayar kepada kwsp atau agen kutipan. Jenis pertama (skim bencana pekerjaan dan jenis kedua (skim. Nak semak kadar caruman sip perkeso? Menurut jadual sumbangan sip, kadar sumbangan dinyatakan dalam lampiran kedua dan dikawal oleh peraturan seksyen 18 akta sistem insurans pekerjaan (sip) 2017. Kadar caruman bagi pekerja dan majikan yang terkini boleh dirujuk di dalam jadual ketiga, akta kwsp (klik untuk muat turun).

Central Hr Posts Facebook
Central Hr Posts Facebook from lookaside.fbsbx.com
Kajian kadar asam fitat dan kadar protein selama /kajian.kajian kadar asam fitat dan kadar protein. Contributing monthtotal month ly contribution jumlah caruman untuk bulan di atas hendaklah dibayar kepada deduction month hendaklah dibayar kepada kwsp atau agen kutipan. Kadar caruman bagi sip adalah campuran 0.2% syer majikan dan 0.2% syer pekerja daripada gaji bulanan pekerja. Majikan sektor swasta dikehendaki membayar caruman bulanan bagi setiap pekerja. Peraturan untuk mengasingkan caruman majikan.di mana walaupun kertas pencen telah diluluskan tetapi. If u already submitted the caruman, print it out and pay psrkeso cheque the lampiran is perksso. Kadar bayaran adalah antara rm 1,700 sehingga rm 10,800 bergantung pada pendapatan bulanan dan syarat kelayakan caruman. Nak semak kadar caruman sip perkeso?

Jika ini kurang cocok silahkan pilih.

Kadar bayaran adalah antara rm 1,700 sehingga rm 10,800 bergantung pada pendapatan bulanan dan syarat kelayakan caruman. Semua majikan sektor swasta perlu membayar. Kajian kadar asam fitat dan kadar protein selama /kajian.kajian kadar asam fitat dan kadar protein. Panduan buat ahli yang telah membuat permohonan sistem insurans pekerjaan perkeso (sip) tahun 2021. Jadual caruman sip perkeso 2021 (kadar)|adakah anda telah membuat permohonan sistem insurans pekerjaan perkeso (sip) tahun 2021? 0.2% x 3,000 = rm6.10 (syer pekerja) 0.2% x 3,000 = rm6.10 (syer majikan). 3 downloads 138 views 846kb size. Kadar caruman bagi sip adalah campuran 0.2% syer majikan dan 0.2% syer pekerja daripada gaji bulanan pekerja. If u already submitted the caruman, print it out and pay psrkeso cheque the lampiran is perksso. Semua majikan sektor swasta perlu membayar. Panduan buat anda yang ingin membuat semakan kadar dan jadual caruman sip perkeso tahun 2021. Come download your kwsp form now! Kadar caruman bagi pekerja dan majikan yang terkini boleh dirujuk di dalam jadual ketiga, akta kwsp (klik untuk muat turun).

Related : Kadar Caruman Sip Pdf / In sip 1a, what is employer's code and industry code?.